Не ускоряйте то, что и так проходит: как развить способность замедлять время

Артур Брукс излагает, как можно достичь долголетия, управляя своим опытом.
В детстве, когда мне было девять лет, четверг был моим любимым днем недели. В этот день у меня проходили занятия по игре на валторне, которые приносили мне радость. В те времена мне казалось, что четверги происходят лишь раз в месяц. Прошло почти пятьдесят лет, и этот день по-прежнему имеет для меня особое значение, так как именно в четверг публикуется моя колонка в журнале. Тем не менее, сейчас мне кажется, что четверги случаются гораздо чаще — раз в три-четыре дня. Кажется, что еженедельные задачи наваливаются на меня гораздо быстрее, чем раз в неделю. Почему так происходит?
Это ощущение, когда время словно ускоряется с возрастом или, наоборот, замедляется из-за скуки или разочарования, вызывает неподдельное удивление. Если сопоставить часы и календари с тем, как мы воспринимаем течение времени, жизнь может показаться плохо смонтированным фильмом. Возможно, вы думали, что ощущение времени ненадежно, но на самом деле все гораздо сложнее. Существует целая наука и философия, которые объясняют искажение восприятия времени. Независимо от того, движется ли время быстро или медленно, понимание этой концепции поможет вам лучше организовать свою жизнь.
Обычно мы воспринимаем время как физическую величину, но философы также внесли свой вклад в изучение этой загадки. Главная задача их анализа — выяснить, проявляет ли время объективную линейность. Французский философ Анри Бергсон, например, предложил рассматривать время как субъективное переживание. Минута — это не просто 60 секунд, а скорее измерение вашего личного существования. Её восприятие зависит от того, чем вы занимаетесь: она коротка, когда вы спите, и длинна, когда стоите в очереди за кофе. Хотя для управления многими аспектами общества нам нужны объективные меры времени, такие как часы и календари, само время не более реально, чем карта на вашем телефоне по сравнению с настоящей дорогой.
Поль Жане, современник Бергсона, утверждал, что восприятие времени зависит от возраста, поскольку оно связано с тем, сколько времени человек уже пережил. Другими словами, время действительно кажется более быстрым с возрастом. В 2017 году группа психологов, исследовавших, как люди ощущают время в разные периоды жизни, пришла к выводу, что большинство из нас действительно испытывают это ускорение. Некоторые ученые считают, что восприятие времени имеет логарифмическое смещение, и социологи нашли подтверждение этой идеи. В одном исследовании 2009 года участники отметили, что три месяца казались им настоящими тремя месяцами, в то время как 36 месяцев в будущем воспринимались как всего полгода.
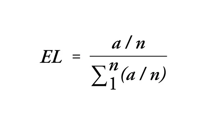
Я сам разработал уравнение, которое отображает «опыт жизни» (EL) в разные периоды. Для этого нужно взять свой текущий возраст (a) и предполагаемый возраст на момент смерти (n). Тогда субъективное количество лет, оставшихся вам жить, будет равно 1 минус EL, умноженному на n.

Результат оказался достаточно удручающим. По актуарным таблицам, при хорошем здоровье в 61 год я могу дожить до 95 лет. Это кажется слишком оптимистичным с учетом семейной истории, но я определенно могу остаться на этой планете еще 34 года. Однако согласно моей формуле, вдохновленной французскими философами, большая часть этих 35 лет оказывается «поддельными». Я уже прожил 91 процент своей жизни, что означает, что мне осталось всего около восьми субъективных лет. Если я не доживу до 95, а до 80, то мне останется лишь пять с половиной лет. Похоже, больше нет смысла стоять в очереди за кофе!
Возраст — это не единственный фактор, сжимающий восприятие времени. Второй важный элемент — это циркадный ритм. В 1972 году французский исследователь Мишель Сиффр провел шесть месяцев в подземной пещере в Техасе, лишенный естественного света, часов и календаря. Постепенно его «дни» — периоды бодрствования и сна — начали увеличиваться, иногда достигая 48 часов. Когда он вышел, он считал, что провел в пещере всего два или три месяца. Если вам сложно уснуть ночью, ваше восприятие времени может быть подобно эксперименту Сиффра. Исследования показывают, что у некоторых людей естественный циркадный ритм превышает 24 часа. Это значит, что дни кажутся им слишком короткими, и они часто страдают от бессонницы. Живя в пещере, вы бы пережили меньше дней, чем те, что измеряются стандартными 24-часовыми отрезками.
Кроме возраста и циркадных ритмов, восприятие времени также меняется в зависимости от переживаний. Это явление называется тахипсихией. Нейробиологи в экспериментах с мышами показали, что когда уровень дофамина повышается от волнения или увлечения, время течет быстрее. В то время как при снижении уровня дофамина из-за скуки или тревоги время тянется медленно. Грубо говоря, время действительно летит, когда вам хорошо.
Экстремальная форма тахипсихии вызывает ощущение, что время замирает: несколько мгновений кажутся минутами или часами, и вы помните их на протяжении многих лет. Это может быть как положительный опыт, например, захватывающая поездка на американских горках, так и негативный, как авария, которую мозг обрабатывает в замедленном режиме. Одна из гипотез, объясняющих тахипсихию, заключается в том, что в моменты высокой интенсивности воспоминания запечатлеваются в мозге, что делает мгновение необычайно долгим.
Философия и исследования восприятия времени приводят к горькой иронии: чем больше вы наслаждаетесь жизнью, особенно во второй половине, тем быстрее летит время. Как же изменить этот эффект и субъективно продлить свою жизнь? Один из вариантов — меньше нервничать в очереди за кофе, особенно с возрастом. Или неосторожно водить машину, как бы шутливо это ни звучало («Я проезжал на красный, потому что хочу жить дольше. Читал об этом в журнале»).
Если такие стратегии вам не подходят (что я настоятельно не рекомендую), вот несколько способов, как извлечь максимальную пользу из ограниченного времени.
Смысл важнее веселья. Ключевым принципом увеличения восприятия времени является память, как показывает пример с аварией. Чем более насыщены ваши воспоминания о событии, тем дольше оно кажется вам в момент переживания, и тем лучше вы его вспоминаете позже, во всех деталях. Не стоит оставлять это на произвол судьбы. Исследования показывают, что память улучшается значительными и эмоциональными событиями, что подразумевает, что настоящая долгая жизнь заключается в поиске глубокого смысла, а не в простом развлечении. Я сам это подтверждаю, вспоминая наш с женой духовный опыт — паломничество по Камино де Сантьяго. В то время как пляжный отдых длился столько же дней по календарю, он не оставил значимого следа. Я думаю об одном как о длительном и насыщенном времени, а о другом — как о мимолетном.
Наслаждайтесь моментом. Поиск смысла жизни включает в себя стратегический выбор занятий и партнеров. Но есть и другая сторона задачи, требующая целенаправленных усилий и осознанности. Важно научиться искусству наслаждения жизнью, которое психологи определяют как «способность обращать внимание на позитивный опыт, ценить и приумножать его». Это значит, что следует уделять все внимание тому, что происходит сейчас, а не думать о будущем. Для расширения восприятия времени я стараюсь включать в свою жизнь как позитивный, так и негативный опыт, а не пытаться как можно быстрее от него избавиться. Хотя это может быть сложно, в итоге я чувствую себя более живым.
Избегайте рутины. За свою жизнь я переезжал около 20 раз за последние 40 лет. (Нет, я не бегу от закона). Я также часто путешествую. Одна из причин в том, что я не переношу рутину. Некоторым людям нравится предсказуемый маршрут на работу и постоянные лица вокруг, но я не из их числа. Моя склонность к переменам может быть затратной, но постоянная новизна способствует более плотным воспоминаниям и, следовательно, ощущению более долгой жизни. Исследования показывают, что когда люди занимаются привычными делами, время проходит быстрее, в то время как новые впечатления замедляют его. Рутины заставляют нас действовать на автопилоте, что затрудняет наслаждение жизнью, а результаты становятся неуловимыми. Возможно, вам не стоит переезжать с места на место, что, безусловно, стресс, но вы можете многое сделать, чтобы изменить обстановку, привычки и окружение.
Одно важное правило: главный принцип эффективного управления временем заключается не в том, чтобы подсчитывать, сколько времени у вас осталось или как долго вы можете его растянуть, а в том, как вы используете каждый момент. Мы склонны вести себя так, будто жизнь будет длиться вечно, и тратить время на пустяки или бессмысленное общение. Это не новая проблема. Стоики древности были хорошо осведомлены об этом и использовали выражение memento mori («помни о смерти») как руководство к действию. Сосредоточив внимание на конечности, утверждали они, вы будете ценить жизнь более полно. Это осознание, независимо от того, как быстро или медленно проходит ваша жизнь, поможет вам эффективно использовать время.
Думая об этом, я представляю, как в один прекрасный четверг выйдет моя последняя колонка. Но пока этого не произошло, и это меня радует.
Источник
Обсудим?
Смотрите также:
